帝源中考网 | 帝源高考网 | 小学 | 初中 | 高中| 教育新闻 | 考试通知 |
付费用户请点这里下载注册会员
首页 > 六年级 > 人教版六年级数学下册 > 期中期末 > 小升初数学复习卷(含答案)手机版

小升初数学复习卷(含答案)

文件大小:   资料格式:  下载:36次

资料等级:33    所需点数:2

课件类型:/word

注册本站会员,享受高速下载,立即注册会员

下载帮助加入收藏夹 错误报告

 一、选择题(每题4分,共40分。)

1. 105的约数和等于(   )

  A.105   B.87   C.86   D.192

2.下列图形经过折叠不能围成正方体的是(   )

3.将约成最简分数值为(   )

 

4.观察下列数列:在这列数中的第(   )个。

A.3112   B.6124   C.3124   D.6122

5.一个正方形的边长和圆的半径相等,已知正方形的面积是20,那么圆的面积是(   )。

A.无法解答  B.62.8   C.12.56   D.15.7

6.如图:ABCDBEFG是并列放在一起的两个正方形,如果正方形ABCD的面积是9CG=2,三角形DEO的面积是(    )。

  

7.a、bc为三个任意整数,则下列三个数中,整数的个数有(  )个。

A.仅有1个   B. 仅有2个   C.有且只有3个   D.至少有1

8.4个人聚会,每人各带2件礼品,分赠给其余3人中的2人,其中既送给某人礼品,又获得对方礼品的人的个数是(   )。

A.2   B.3   C.4   D.不确定

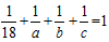
9.在算式中,字母abc代表不同的整数,这三个数的和可以是(   )。

A.12   B.24    C.14   D.15

10.某参观团根据下列条件从ABCDE五个地方选定参观地点,最多可能去的地方是(   )。

①若去A地也必须去B地   ②B、C两地最多去一地

③D、E两地至少去一地    ④C、D两地都去或都不去

⑤若去E去,一定要去A、D两地

A.A、B   B.B、C  C.D、E   D.D、C

二、填空题(每题5分,共50分。)

11.如图,DC=3BDAE=ED,若三角形ABC的面积是14平方厘米,则阴影部分面积是        平方厘米。

小升初数学复习卷(含答案)下载
下载地址:[ 下载地址1 ]